留言板

尊敬的读者、作者、审稿人, 关于本刊的投稿、审稿、编辑和出版的任何问题, 您可以本页添加留言。我们将尽快给您答复。谢谢您的支持!

姓名
邮箱
手机号码
标题
留言内容
验证码

通过理论定标律研究激光间接驱动的参数空间

杨宸 范征锋 刘杰 张存波 于承新 任国利

杨宸, 范征锋, 刘杰, 等. 通过理论定标律研究激光间接驱动的参数空间[J]. 强激光与粒子束, 2019, 31: 062001. doi: 10.11884/HPLPB201931.180339
引用本文: 杨宸, 范征锋, 刘杰, 等. 通过理论定标律研究激光间接驱动的参数空间[J]. 强激光与粒子束, 2019, 31: 062001. doi: 10.11884/HPLPB201931.180339
Yang Chen, Fan Zhengfeng, Liu Jie, et al. Parameter spaces of laser indirect-driven target by theoretic scaling laws[J]. High Power Laser and Particle Beams, 2019, 31: 062001. doi: 10.11884/HPLPB201931.180339
Citation: Yang Chen, Fan Zhengfeng, Liu Jie, et al. Parameter spaces of laser indirect-driven target by theoretic scaling laws[J]. High Power Laser and Particle Beams, 2019, 31: 062001. doi: 10.11884/HPLPB201931.180339

通过理论定标律研究激光间接驱动的参数空间

doi: 10.11884/HPLPB201931.180339
基金项目: 

国家自然科学基金项目 11475032

国家自然科学基金项目 11775030

国家自然科学基金项目 11871114

中国工程物理研究院院长基金项目 201402037

详细信息
    作者简介:

    杨宸(1993—), 男,博士研究生,从事内爆物理的研究;yangchen18@gscaep.ac.cn

    通讯作者:

    刘杰(1964—),男,博士,研究员,从事激光聚变物理的研究;liu_jie@iapcm.ac.cn

  • 中图分类号: O532.13

Parameter spaces of laser indirect-driven target by theoretic scaling laws

  • 摘要: 系统地梳理了激光间接驱动点火靶内爆压缩的物理过程,使用理论方法和一维流体力学模拟给出了靶丸内爆过程中的关键定标律公式。通过这些定标律公式获得了在给定黑腔辐射温度、飞行熵增因子、整形速度和烧蚀材料的条件下,靶丸装量——半径参数空间的点火岛区域。研究了靶丸性能参数随辐射温度、飞行熵增因子等的变化规律:当靶丸所处黑腔辐射温度升高时,内爆的稳定性将变好;设计上在靶丸装量不变的条件下,靶丸半径需要减小。当靶丸的飞行熵增因子增大时,内爆增益略微减小,内爆稳定性变好;但是点火阈值因子减小导致点火岛的区域变窄。当靶丸的整形速度增大时,点火岛的区域略微变大,内爆稳定性变化不显著;设计上在靶丸装量不变的条件下,需要增大靶丸半径,这会导致靶丸壳层形状因子变大。当改变靶丸烧蚀材料,提高质量烧蚀速率与烧蚀压时,能量增益变大且稳定性增强;设计上在靶丸装量不变的条件下,需要减小靶丸半径。
  • 图  1  实际靶丸构型与简化模型

    Figure  1.  The real target configuration and the simplified model

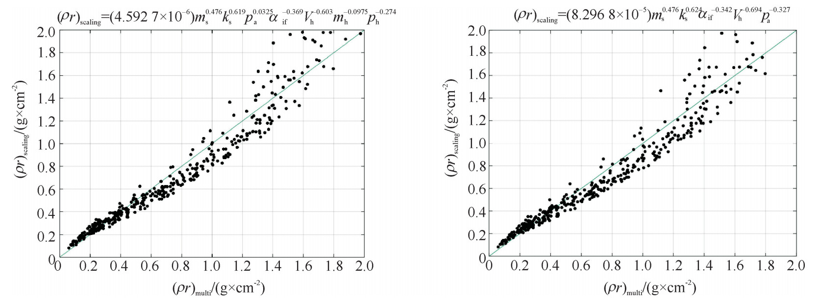
    图  2  500组随机初始参数拟合的定标面密度效果

    Figure  2.  The scaling MULTI-IFE data vs of areal density

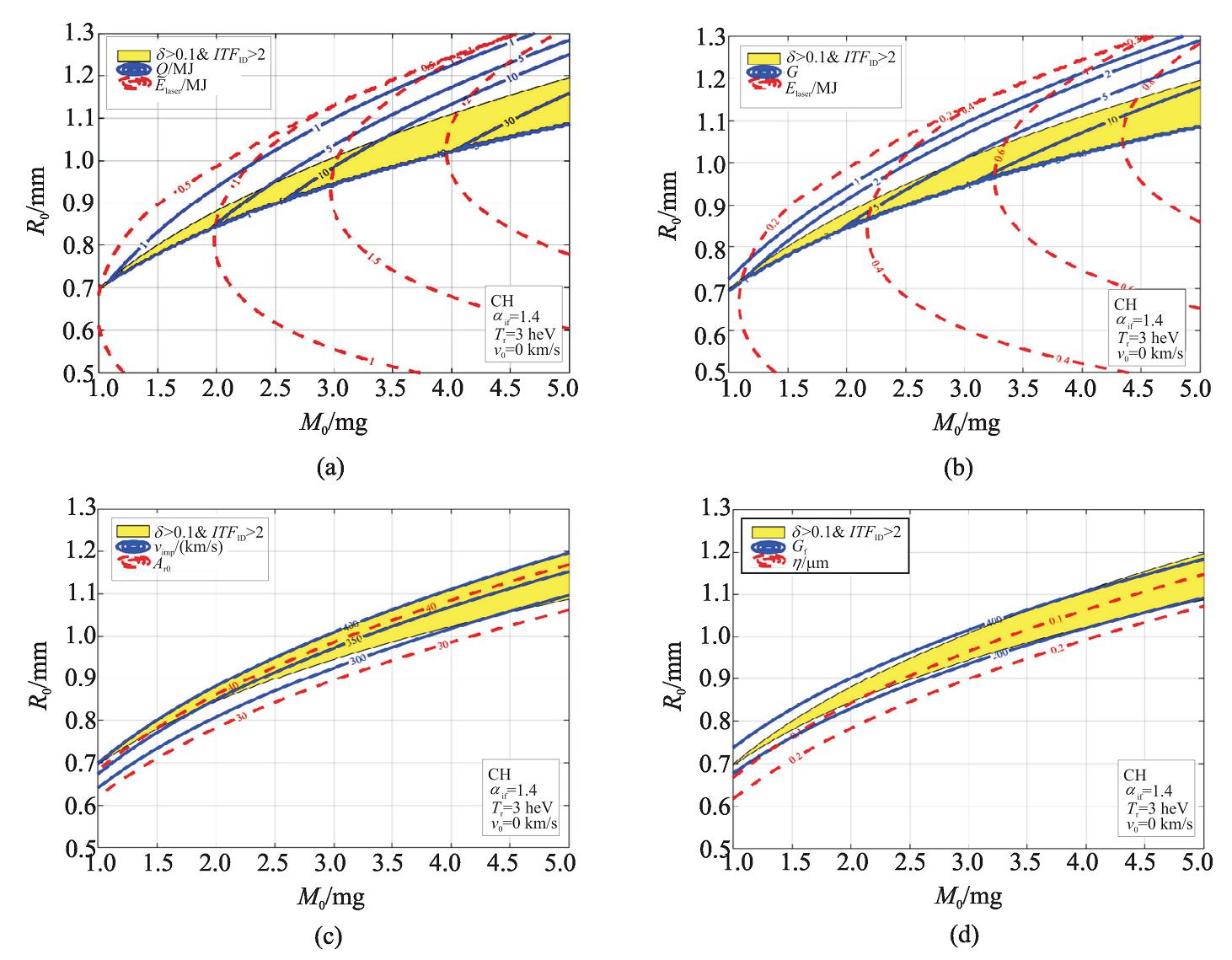
    图  3  剩余质量比δ和点火阈值因子ITF1D在靶丸装量——半径参数空间中的变化及点火岛区域

    Figure  3.  The contour of residual mass fraction δ and ignition threshold factor ITF1D in the capsule mass-radius parameter space and the volcanic islands

    图  4  点火岛中的参量

    Figure  4.  The parameters in the volcanic islands

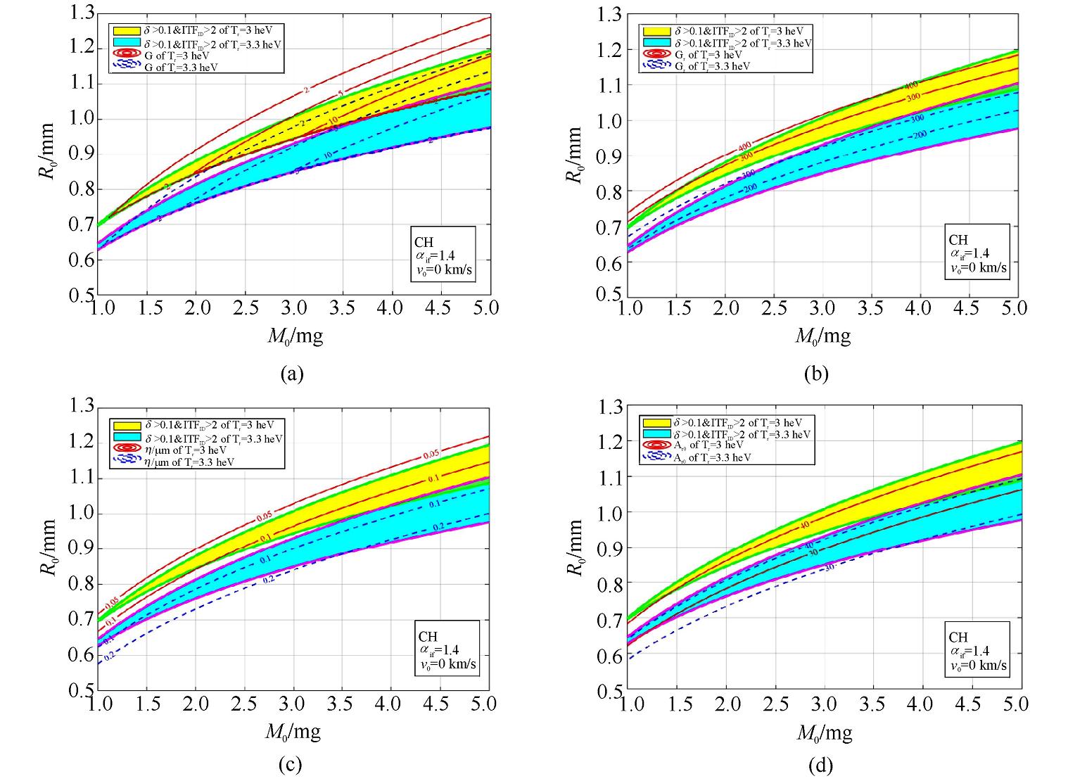
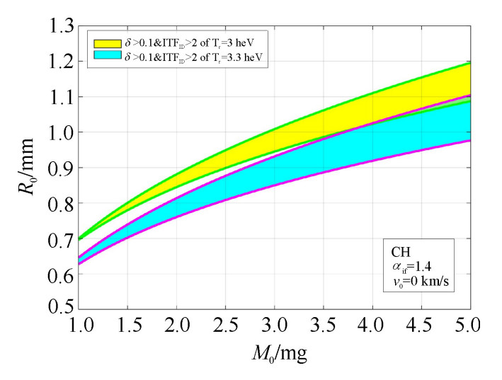
    图  5  辐射温度对点火岛的影响

    Figure  5.  The effect of radiation temperature on the volcanic islands

    图  6  不同辐射温度下性能参量的比较

    Figure  6.  The comparisons of parameters in different radiation temperatures

    图  7  飞行熵增对点火区域的影响

    Figure  7.  The effect of in-flight adiabat on the volcanic islands

    图  8  不同飞行熵增下性能参量的比较

    Figure  8.  The comparisons of parameters in different in-flight adiabat

    图  9  整形速度对点火区域的影响

    Figure  9.  The effect of shaping velocity on the volcanic islands

    图  10  不同整形速度下性能参量的比较

    Figure  10.  The comparisons of parameters in different shaping velocity

    图  11  靶丸烧蚀材料对点火区域的影响

    Figure  11.  The effect of ablator material on the volcanic islands

    图  12  不同靶丸烧蚀材料下性能参量的比较

    Figure  12.  The comparisons of parameters in different ablator material

    表  1  不同材料的烧蚀定标律系数

    Table  1.   The parameters for different ablator materials

    materials a/(g·cm-2·μs·heV-3) b/(Mbar·heV-3.5)
    CH 0.30 3.0
    Ge-doped CH 0.35 3.5
    HDC 0.50 5.0
    Cu-doped Be 0.75 7.5
    下载: 导出CSV
  • [1] Pfalzner S. An introduction to inertial confinement fusion[M]. New York: Taylor & Francis Group LLC, 2006.
    [2] Atzeni S, Meyer-ter-Vehn J. The Physics of inertial Fusion[M]. New York: Oxford University Press, 2004.
    [3] Lindl J, Landen O, Edwards J, et al. Review of the national ignition campaign 2009-2012[J]. Phys Plasmas, 2014, 21: 020501. doi: 10.1063/1.4865400
    [4] Betti R, Hurricane O A. Inertial-confinement fusion with lasers[J]. Nat Phys, 2016, 12(5): 435-448. doi: 10.1038/nphys3736
    [5] Lindl J D, Amendt P, Berger R L, et al. The physics basis for ignition using indirect-drive targets on the National Ignition Facility[J]. Phys Plasmas, 2004, 11: 339. doi: 10.1063/1.1578638
    [6] Glenzer S H, Spears B K, Edwards M J, et al. First implosion experiments with cryogenic thermonuclear fuel on the National Ignition Facility[J]. Plasma Phys Control Fusion, 2012, 54: 045013. doi: 10.1088/0741-3335/54/4/045013
    [7] Moses E I, Boyd R N, Remington B A, et al. The National Ignition Facility: Ushering in a new age for high energy density science[J]. Phys Plasmas, 2009, 16: 041006. doi: 10.1063/1.3116505
    [8] Le Pape S, Berzak Hopkins L F, Divol L, et al. Fusion energy output greater than the kinetic energy of an imploding shell at the National Ignition Facility[J]. Phys Rev Lett, 2018, 120: 245003. doi: 10.1103/PhysRevLett.120.245003
    [9] 江少恩, 董云松, 黄天晅, 等. 激光装置首次间接驱动内爆集成实验[J]. 强激光与粒子束, 2016, 28: 080101. doi: 10.11884/HPLPB201628.160111

    Jiang Shaoen, Dong Yunsong, Huang Tianxuan, et al. Initial indirect-driven implosion integrated experiment on laser facility. High Power Laser and Particle Beams, 2016, 28: 080101 doi: 10.11884/HPLPB201628.160111
    [10] 李三伟, 杨冬, 李欣, 等. 我国激光间接驱动黑腔物理实验研究进展[J]. 中国科学: 物理学力学天文学, 2018, 48: 065202. https://www.cnki.com.cn/Article/CJFDTOTAL-JGXK201806002.htm

    Li Sanwei, Yang Dong, Li Xin, et al. Recent progress of hohlraum physics experiments in indirect driven ICF in China. Sci China Ser G—Phys Mech Astron, 2018, 48: 065202 https://www.cnki.com.cn/Article/CJFDTOTAL-JGXK201806002.htm
    [11] Regan S P, Epstein R, Hammel B A, et al. Hot-spot mix in ignition-scale implosions on the NIF[J]. Phys Plasmas, 2012, 19: 056307. doi: 10.1063/1.3694057
    [12] Ma T, Patel P K, Izumi N, et al. Onset of hydrodynamic mix in high-velocity, highly compressed inertial confinement fusion implosions[J]. Phys Rev Lett, 2013, 111: 085004. doi: 10.1103/PhysRevLett.111.085004
    [13] Remington B A, Atherton L J, Benedetti L R, et al. Hydrodynamic instabilities and mix studies on NIF: Predictions, observations, and a path forward[J]. J Phys Conf Ser, 2016, 688: 012090. doi: 10.1088/1742-6596/688/1/012090
    [14] 于承新, 范征锋, 刘杰, 等. 惯性约束聚变中内爆混合的模型构建[J]. 计算物理, 2017, 34(4): 379-386. doi: 10.3969/j.issn.1001-246X.2017.04.002

    Yu Chengxin, Fan Zhengfeng, Liu Jie, et al. Modeling of shell-mixing into central hotspot in inertial confinement fusion implosion. Chinese Journal of Computational Physics, 2017, 34(4): 379-386 doi: 10.3969/j.issn.1001-246X.2017.04.002
    [15] Martinez D A, Smalyuk V A, MacPhee A G, et al. Hydro-instability growth of perturbation seeds from alternate capsule-support strategies in indirect-drive implosions on National Ignition Facility[J]. Phys Plasmas, 2017, 24: 102707. doi: 10.1063/1.4995568
    [16] Clark D S, Kritcher A L, Yi S A, et al. Capsule physics comparison of National Ignition Facility implosion designs using plastic, high density carbon, and beryllium ablators[J]. Phys Plasmas, 2018, 25: 032703. doi: 10.1063/1.5016874
    [17] Marinak M M, Kerbel G D, Gentile N A, et al. Three-dimensional HYDRA simulations of National Ignition Facility targets[J]. Phys Plasmas, 2001, 8: 2275. doi: 10.1063/1.1356740
    [18] 宋鹏, 翟传磊, 李双贵, 等. 激光间接驱动惯性约束聚变二维总体程序—LARED集成程序[J]. 强激光与粒子束, 2015, 27: 032007. doi: 10.11884/HPLPB201527.032007

    Song Peng, Zhai Chuanlei, Li Shuanggui, et al. LARED—Integration code for numerical simulation of the whole process of the indirect-drive laser inertial confinement fusion. High Power Laser and Particle Beams, 2015, 27: 032007 doi: 10.11884/HPLPB201527.032007
    [19] Saillard Y. Acceleration and deceleration model of indirect drive ICF capsules[J]. Nucl Fusion, 2006, 46(12): 1017-1035. doi: 10.1088/0029-5515/46/12/005
    [20] Herrmann M C, Tabak M, Lindl J D. Ignition scaling laws and their application to capsule design[J]. Phys Plasmas, 2001, 8: 2296. doi: 10.1063/1.1364516
    [21] Ramis R, Meyer-Ter-Vehn J. MULTI-IFE - A one-dimensional computer code for Inertial Fusion Energy (IFE) target simulations[J]. Comput Phys Commun, 2016, 203: 226-237. doi: 10.1016/j.cpc.2016.02.014
    [22] Olson R E, Rochau G A, Landen O L, et al. X-ray ablation rates in inertial confinement fusion capsule materials[J]. Phys Plasmas, 2011, 18: 032706. doi: 10.1063/1.3566009
    [23] Lu Y, Fan Z, Lu X, et al. The analysis of harmonic generation coefficients in the ablative Rayleigh-Taylor instability[J]. Phys Plasmas, 2017, 24: 102705. doi: 10.1063/1.5007076
    [24] Betti R, Goncharov V N, McCrory R L, et al. Growth rates of the ablative Rayleigh-Taylor instability in inertial confinement fusion[J]. Phys Plasmas, 1998, 5: 1446. doi: 10.1063/1.872802
    [25] Nora R, Betti R, Anderson K S, et al. Theory of hydro-equivalent ignition for inertial fusion and its applications to OMEGA and the National Ignition Facility[J]. Phys Plasmas, 2014, 21: 056316. doi: 10.1063/1.4875331
    [26] Betti R, Anderson K, Goncharov V N, et al. Deceleration phase of inertial confinement fusion implosions[J]. Phys Plasmas, 2002, 9: 2277. doi: 10.1063/1.1459458
    [27] Kemp A, Meyer-ter-Vehn J, Atzeni S. Stagnation pressure of imploding shells and ignition energy scaling of inertial confinement fusion targets[J]. Phys Rev Lett, 2001, 86(15): 3336-3339. doi: 10.1103/PhysRevLett.86.3336
    [28] Hurricane O A, Callahan D A, Casey D T, et al. Fuel gain exceeding unity in an inertially confined fusion implosion[J]. Nature, 2014, 506: 7488.
    [29] Haan S W, Lindl J D, Callahan D A, et al. Point design targets, specifications, and requirements for the 2010 ignition campaign on the National Ignition Facility[J]. Phys Plasmas, 2011, 18: 051001. doi: 10.1063/1.3592169
  • 加载中
图(12) / 表(1)
计量
  • 文章访问数:  1803
  • HTML全文浏览量:  279
  • PDF下载量:  123
  • 被引次数: 0
出版历程
  • 收稿日期:  2018-11-26
  • 修回日期:  2019-03-26
  • 刊出日期:  2019-07-15

目录

    /

    返回文章
    返回